产品中心
Products

产品简介
1、用途适用于输送不含固体颗粒和纤缩,无腐怏性,温度不高于an℃,粘度为5×10⁴-1.5×10m³/s(5-1500cSt)的润滑油或性质类似洞滑油的其它液体,以及用于液压传动系统。2、应用范围在输油系统中可用作传输,增压泵;在燃油系统中可用作输送、加压。喷射的燃油泵;在液压传动系统中可用作提供液压动力的液压泵;在一切工业领
最新资讯
1、用途
适用于输送不含固体颗粒和纤缩,无腐怏性,温度不高于an℃,粘度为5×10⁴-1.5×10m³/s(5-1500cSt)的润滑油或性质类似洞滑油的其它液体,以及用于液压传动系统。
2、应用范围
在输油系统中可用作传输,增压泵;在燃油系统中可用作输送、加压。喷射的燃油泵;在液压传动系统中可用作提供液压动力的液压泵;在一切工业领域中,均可作润滑油泵用。
3、结构特点
本系列齿轮泵主要有齿轮、轴、泵体、泵盖、轴承套、轴端密封等组成。齿轮经氮化处理有较高的硬度和耐磨性。与轴一同安装在可更换的轴套内运转。泵内全部零件的涧滑均在泵工作时利用输送介质面自动达到。
泵内四个轴承套在泵体内浮动安装,随工作压力大小自动调整端面间隙,因此泵的压力稳定。输出流量脉动小,容积效率高。
从主轴外伸端向泵看,为顺时针旋转。
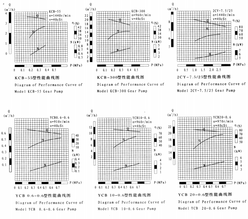
各型齿轮泵的性能参数,是在介质粘度4×10°m²/s(40cSt)时确定的。性能参数表中给出的参数值适用于介质粘度1×10⁴-8×10′m²/s(10—BneSt)范围内,超出这个范围则根据用户提出的性能参数要求另行确定。
各型齿轮泵性能参数中给出的排出压力是给出的最大工作压力值。在此范围内泵均能正常工作,其工作范围见图一。


在线留言
扫一扫,添加微信
热线电话:
156-9026-7618
133-9371-8500
河北省沧州市南皮县刘八里乡赵监生村南
1718715098@qq.com